有机硅改性丙三醇非异氰酸酯聚氨酯研究-江苏尚水科技有限公司_水性树脂_水性UV_水性涂料

13510828459

联系我们contact us
全国咨询热线0510-80333118

联系人:冯经理

手机: 13510828459

电话:86-0510-80333118

传真:86-0510-80332877

地址:  广东省中山市三角镇高平大道西1号     尚水科技冯丽萍 13510828459   (希贵光固化厂区內)    


新闻资讯 ニュース
分享至:

有机硅改性丙三醇非异氰酸酯聚氨酯研究

发布日期:2018/07/30
摘  要 


以丙三醇环氧树脂(PGE)与CO2反应得到的丙三醇环碳酸酯(PCC)为原料,与己二胺反应制备非异氰酸酯聚氨酯(NIPU),并分别采用环氧基POSS、聚二甲基硅氧烷环氧树脂等有机硅环氧树脂共聚改性,制备有机硅改性NIPUHNIPU)。采用FT-IR1H-NMR 13C-NMR 表征了PCC的化学结构,并考察了有机硅环氧树脂的化学结构、其用量对HNIPU涂膜热力学性能的影响。结果表明,有机硅环氧树脂改性NIPU聚合物材料的玻璃化转变温度、热稳定性及耐水性与改性前相比均得到明显提高。随着有机硅环氧树脂用量的增加,HNIPU涂膜的拉伸强度逐渐增强,断裂伸长率逐渐降低。


关键词非异氰酸酯聚氨酯;环氧树脂;有机硅;制备;热稳定性;耐水性;拉伸强度



 引言

聚氨酯作为一类重要的高分子合成材料,在泡沫、橡胶、弹性体、密封剂、涂料和胶粘剂等领域有着非常广泛的应用。传统的聚氨酯由多异氰酸酯与多元醇反应而成,主要原料多异氰酸酯易挥发、毒性大,对人体健康和环境造成极大危害。近年来,随着人们环保理念和安全意识的不断增强,开发和利用无毒、无害的环保合成材料已成为当今聚氨酯研究的重要方向。非异氰酸酯聚氨酯(NIPU)是由环碳酸酯与多元胺反应生成的新一代聚氨酯材料,与传统聚氨酯材料相比,其制备及使用过程中摒弃了多异氰酸酯,具有毒副作用小、制备与使用工艺安全环保等优点,已成为国内外高分子材料领域关注及研究的热点。然而,NIPU材料分子结构中含有大量羟基,从而使其耐水性能较差,限制了相关产品的推广应用。


有机硅分子结构的特殊性使其具有低表面能、耐高温、耐氧化以及良好的疏水性和耐候性。已有研究表明,采用有机硅对环氧树脂、聚氨酯及非异氰酸酯聚氨酯等高分子合成材料改性,可赋予材料良好的耐水、耐热及力学性能。本研究以丙三醇环碳酸酯为原料,与己二胺反应制备非异氰酸酯聚氨酯(NIPU),并针对其性能方面的不足,采用环氧基POSS、聚二甲基硅氧烷环氧树脂等有机硅环氧树脂改性,制备有机硅改性NIPUHNIPU),利用有机硅材料良好的耐水性、热稳定性以及环氧树脂材料的高强度、高模量,实现NIPU 材料的性能优化。


 实验部分

1.1  原料、试剂及仪器

丙三醇环氧树脂(PGE,环氧值0.67 eq/100 g),安徽新远化工有限公司;环氧基POSSEP-1,分子结构如图所示,环氧值0.54 eq/100 g),自制;聚二甲基硅氧烷环氧树脂(EP-2,分子结构如图2所示,环氧值0.52 eq/100 g),自制;CO2,体积分数99.9%;三乙基苄基氯化铵(TEBA)、乙二醇(EG)、16-己二胺(HMDA)等,均为化学纯。

IS10型傅里叶变换红外光谱仪,美国Nicolet公司;AV-300型核磁共振波谱仪,瑞士Bruker 公司;Diamond DSC分析仪,美国PerkinElmer公司;STA 409 PC/PG型同步热分析仪,德国Netzsch公司;Q800型动态热机械分析仪,美国TA公司;CMT4304型微机控制电子万能试验机,深圳市新三思集团公司;CJK-1型快开反应釜,山东威海新元化工机械厂。


1.2  合成方法

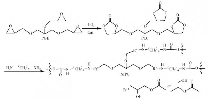
1.2.1  丙三醇环碳酸酯的合成

1 L 高压反应釜中,加入200 g 丙三醇环氧树脂(PGE)、2.0 g 苄基三乙基氯化铵及1.0 g 乙二醇,升温至120 ℃,通入CO2 至一定压力,检漏后放空。重复操作次,彻底排除釜内空气,通入CO2 保持压力在2 MPa,搅拌反应16 h,停止反应,排出釜内剩余CO2。产物用热水洗涤除去苄基三乙基氯化铵及乙二醇,减压蒸馏除去水分,得淡黄色液体,即丙三醇环碳酸酯(PCC)。合成反应如图所示。

 

 

 丙三醇环碳酸酯及NIPU的合成


1.2.2  丙三醇NIPU的合成

将丙三醇环碳酸酯与己二胺混合(环碳酸酯基与氨基物质的量比为1∶1),搅拌均匀,取样涂在聚四氟乙烯板上,100 ℃固化10 h。合成反应如图所示。


1.2.3  丙三醇HNIPU的合成

将丙三醇环碳酸酯分别与环氧基POSS、聚二甲基硅氧烷环氧树脂等有机硅环氧树脂按一定质量分数溶于DMF,调制成固体质量分数50%的溶液,然后加入己二胺,搅拌均匀,取样涂在聚四氟乙烯板上,100 ℃固化14 h。合成反应如图2所示。

己二胺用量按公式(1)计算。

m =n1 + n2× M /2   1

中,m 为己二胺的质量,gn1 为环碳酸酯基团物质的量,moln2 为环氧基团物质的量,molM 为己二胺的摩尔质量,g/mol

 丙三醇HNIPU的合成

 

1.3  分析与测试

1) FT-IR 分析

采用KBr 压片法,在Nicolet IS10 型傅里叶变换红外光谱仪上分析,扫描范围650~4 000 cm-1,分辨率为2 cm-1

2) NMR 分析

CDCl3 为溶剂、四甲基硅烷(TMS)为内标,在Bruker AV-300 型核磁共振波谱仪上分析。

3) DSC 分析

采用Diamond DSC 分析仪测定NIPU HNIPU样品的玻璃化转变温度(Tg),温度-20~120 ℃,升温速率20 ℃/min,氮气氛下测试。

4) TG 分析

采用STA 409 PC/PG 型同步热分析仪上对NIPUHNIPU 样品做热失重分析,温度30~800 ℃,升温速率10 ℃/min,氮气氛下测试。

5) DMA 分析

采用Q800 DMA 分析仪测定NIPU HNIPU涂膜的动态力学性能,温度-20~120 ℃,升温速率为3 ℃/min,频率1 Hz

材料交联密度(νe)按公式(2)计算。

νe = E/3RT  (2

中,R为理想气体常数(8.31Pa·m3·mol-1·K-1);Tα DMA 测得材料的玻璃化转变温度;为温度(Tα + 50K);E为温度T 时材料的储能模量(Pa)。

6) 拉伸性能测定

GB/T 1040.3—2006 塑料拉伸性能的测定第3部分:薄膜和薄片的试验条件规定的方法,采用CMT4304 型万能电子拉力试验机测定NIPU HNIPU 涂膜的拉伸强度及断裂伸长率,拉伸速率为10 mm/min

7) 吸水率测定

室温条件下,将一定质量的NIPU HNIPU涂膜(W1)浸入水中,24 h 后取出,滤纸擦拭表面附着的水分后称重(W2),吸水率按公式(3)计算。

吸水率W2 - W1/ W1× 100%     (3


 结果与讨论

2.1  结构表征

2.1.1  丙三醇环碳酸酯

丙三醇环氧树脂(PGE)及丙三醇环碳酸酯(PCC)的红外光谱图如图所示。在PGE 谱图中,907 cm-1 处为环氧基不对称伸缩振动吸收峰。对比PCC PGE 的红外谱图可以看出,PCC 谱图中,环氧基团特征吸收峰消失,而在1781 cm-1 处出现环碳酸酯基团C=的伸缩振动吸收峰,表明环氧基团与CO2 完全反应转化为环碳酸酯基团。

 3  PGEPCC的红外光谱图


PGE 1H-NMR 谱图中,化学位移δ 2.912.552.37 处分别为环氧基团次亚甲基氢及亚甲基氢的特征峰。在PCC 1H-NMR 谱图中,该特征峰消失,而在化学位移δ 4.834.35~4.50 处分别出现环碳酸酯基团次亚甲基氢及亚甲基氢的特征峰,表明环氧基团通过反应完全转化为环碳酸酯基团。此外,在PCC 13C-NMR 谱图中,化学位移δ 155.175.166.0 处环碳酸酯基团羰基碳、次亚甲基碳及亚甲基碳的特征峰都进一步证实PCC 成功合成。


PGE NMR300 MHzCDCl3δ):1H-NMR3.32~3.71mO—CH2);3.11~3.17mO—CH);2.91m,环氧基团次亚甲基氢);2.55m,环氧基团亚甲基氢);2.37m,环氧基团亚甲基氢)。13C-NMR77.9O—CH);69.8~71.4O—CH2);55.0(环氧基团次亚甲基碳);43.2(环氧基团亚甲基碳)。


PCC NMR300 MHzCDCl3δ):1H-NMR4.83m,环碳酸酯基团次亚甲基氢);4.50t,环碳酸酯基团亚甲基氢);4.35~4.40m,环碳酸酯基团亚甲基氢);3.52~3.93mO—CH2 );3.32~3.39mO—CH)。13C-NMR155.1 (环碳酸酯基团羰基碳);79.3O—CH);75.1(环碳酸酯基团次亚甲基碳);69.1~71.6O—CH2);66.0(环碳酸酯基团亚甲基碳)。

2.1.2  丙三醇NIPUHNIPU

丙三醇NIPU HNIPU 的红外光谱如图所示。对比NIPU PCC 的红外谱图可以看出,在NIPU 谱图中,1 781 cm-1 处环碳酸酯基团的特征吸收峰消失,而在1 6901 532 cm-1 处分别出现氨基甲酸酯官能团中C=伸缩振动峰及N—H 伸缩振动峰,3 310 cm-1 处为新生成O—H 的弯曲振动峰,表明环碳酸酯基团与氨基反应,转化为氨基甲酸酯基团。


HNIPU2)、HNIPU5)谱图中,3 310 cm-1O—H 伸缩振动峰、1 690 cm-1 C=伸缩振动峰以及1 532 cm-1 NH—CO 的伸缩振动峰,表明NIPU 特征官能团氨基甲酸酯链段的形成。此外,HNIPU2)谱图中1 098 cm-1 处环氧基POSS Si—O—Si 基团的特征吸收峰以及HNIPU5)谱图中800 cm-1 处聚二甲基硅氧烷环氧树脂中Si—CH3基团的特征吸收峰,均表明有机硅通过反应成功引入到HNIPU 分子结构中。

  丙三醇NIPUHNIPU的红外光谱图


2.2  NIPU HNIPU 性能分析

2.2.1  玻璃化转变温度

为丙三醇NIPU HNIPU DSC 曲线,其相关数据见表1

 丙三醇NIPUHNIPUDSC曲线

 

 丙三醇NIPUHNIPU涂膜性能 


在扫描温度范围(-20~120 ℃)内,测试样品只有一个玻璃化转变温度(Tg),表明NIPU HNIPU聚合物体系为均相体系,未发生相分离。特别在HNIPU 体系中,环氧基POSS 及聚二甲基硅氧烷环氧树脂与NIPU 基体均表现出良好的相容性。另外,由表可知,有机硅环氧树脂改性后,HNIPU聚合物材料的T与改性前相比明显得到提高,且随着有机硅环氧树脂用量的增加,Tg 逐渐升高。当环氧基POSS、聚二甲基硅氧烷环氧树脂用量相同时,环氧基POSS 改性所得HNIPU 具有较高的Tg,主要由于有机硅环氧树脂改性使所得HNIPU材料的交联密度增加,且POSS 纳米笼形结构的添加有效限制了聚合物材料中分子链段运动。


2.2.2  热稳定性分析

为丙三醇NIPU HNIPU TG 曲线,失重50%的温度(Td)如表所示。由表可知,有机硅环氧树脂改性后,HNIPU 材料的Td 明显提高,且T与有机硅环氧树脂用量密切相关,随着有机硅环氧树脂用量的增加,Td 逐渐升高。表明有机硅环氧树脂改性可有效提高NIPU 材料的热稳定性能。这一方面由于有机硅添加在材料中引入了键能较大的Si—O 键和Si—C 键。另一方面由于环氧树脂改性使材料的交联密度增加,阻碍了材料中分子链段的运动。

  丙三醇NIPUHNIPUTG曲线


2.2.3  DMA 分析

为丙三醇NIPU HNIPU 涂膜储能模量(E)、损耗因子(tan δ)随温度变化曲线,tan δ 曲线峰值对应的温度为聚合物的玻璃化转变温度Tα(表1)。如表所示,有机硅环氧树脂改性所得HNIPU 材料的Tα 变化趋势与DSC 分析结果一致。随着有机硅环氧树脂用量的增加,HNIPU 材料的Tα 逐渐升高。当环氧基POSS、聚二甲基硅氧烷环氧树脂用量相同时,环氧基POSS 改性所得HNIPU具有较高的Tα。此外,丙三醇NIPU HNIPU 涂膜的储能模量变化趋势基本相同。随着温度的升高,E′逐渐降低,当温度到达Tα 附近时,E′迅速减小后逐渐达到稳定状态。这是由于随着温度的升高,聚合物材料中分子链段活动能力增强,从而降低了材料的储能模量。温度高于Tα 时,HNIPU 材料的E′与改性前相比明显得到提高,且随着有机硅环氧树脂用量的增加,E逐渐增大。这是由于有机硅环氧树脂改性后,HNIPU 材料的交联密度增加,分子链段运动能力减弱。

  丙三醇NIPUHNIPUDMA曲线


2.2.4  力学性能

丙三醇NIPU HNIPU 涂膜的拉伸强度及断裂伸长率如表所示。实验表明,有机硅环氧树脂改性后,HNIPU 聚合物材料的拉伸强度与改性前相比明显提高,断裂伸长率则有所降低。随着有机硅环氧树脂用量的增加,材料的拉伸强度逐渐增大,断裂伸长率逐渐降低。主要由于有机硅环氧树脂改性使所得HNIPU 材料交联密度增加,内聚能增大,分子链间运动能力减弱。此外,HNIPU 材料的力学性能与有机硅环氧树脂分子结构密切相关,环氧基POSS、聚二甲基硅氧烷环氧树脂用量相同时,环氧基POSS 改性所得HNIPU 由于结构中具有POSS 纳米笼型结构而使其拉伸强度较高、断裂伸长率较低。


2.2.5  耐水性能

PCC 与己二胺反应生成NIPU 过程中伴有大量羟基官能团生成,导致涂膜耐水性能较差。有机硅材料具有较低的表面能,因此有机硅环氧树脂改性所得HNIPU 涂膜的耐水性能有所提高,且随着有机硅环氧树脂用量的增加,涂膜的耐水性能逐渐增强。此外,由于聚二甲基硅氧烷环氧树脂中Si—O—Si链段在成膜过程中容易向材料表面迁移,形成富含有机硅的疏水层。因此,当环氧基POSS、聚二甲基硅氧烷环氧树脂用量相同时,聚二甲基硅氧烷环氧树脂改性的NIPU表现出较好的耐水性能。


 结论

1) 有机硅环氧树脂改性后,HNIPU 材料的玻璃化转变温度、热稳定性、耐水性及拉伸强度与改性前相比均得到明显提高。

2) 随着有机硅环氧树脂用量的增加,HNIPU材料的玻璃化转变温度、耐水性及拉伸强度逐渐增强,断裂伸长率逐渐降低。

3) 有机硅环氧树脂用量相同时,环氧基POSS改性的NIPU 具有较高的玻璃化转变温度及拉伸强度,而聚二甲基硅氧烷环氧树脂改性的NIPU 则具有较好的耐水性能及断裂伸长率。


X